目次
1. リチウムイオン電池の特性

リチウムイオン電池はその充電放電に伴って電子が正極と負極の間を移動します。
その電流の担い手としての電荷はリチウムのイオンを利用しております。
周期律表を思い出せばわかるように、リチウムは水素、ヘリウムに次いで最も軽い元素です。
最大の特徴はその軽さにあります。
電池の比較は単位質量あたりの容量で(Wh/kg)表現されますが、正極に酸化リチウム、負極にカーボンを用いたリチウムイオン二次電池は重量エネルギー密度が必然的に高くなり、非常に軽い電池となります。
正極に使用される酸化リチウムには、コバルト酸リチウム(LiCoO2)、マンガン酸リチウム(LiMn2O4)、ニッケル酸リチウム(LiNiO2)、リン酸鉄リチウム(LiFePO4)等が用いられます。
リチウムイオンの移動する経路には有機溶媒が使われており、正極と負極の間を絶縁するためのセパレータとして有機フィルムが挿入され、これらの諸材料が金属缶に封入されています。
即ち、リチウムイオン電池は正極、負極、有機溶媒、セパレータと金属缶で構成されています。
出力最大電圧はCo系とMn系でわずかに差はありますが約4.2Vとなります。
また、リン酸鉄系は通常のリチウムイオンよりも低い約3.6V程度となり容量密度も低くなりますが、通常のリチウムイオンよりも3〜4倍以上のサイクル寿命を持つという利点があります。
1.1 その危険性
リチウムは非常に活性な金属で水と激しく反応して燃えます。
また電解液も有機溶媒ですので容易に燃焼します。
リチウムイオン2次電池は過充電とセルの衝撃で発火、燃焼する可能性が鉛電池やニッケル水素に比べ高くなります。
電池は大きなエネルギーを内蔵しており、そのエネルギーが一気に放出されることが事故につながることがあります。
1.2 安全対策
電池パックについては『2. 電池パックの構成』項で説明しますが、セル自体が有する安全対策としては、円筒型電池ではセルの頭部にPTC(Positive Temperature Coefficient)が組み込まれており過電流を阻止します。
またセルの内部圧力が上昇した時に、機械的に電流経路を遮断するディスコネクト素子(CID-Current Interrupt Device-とも呼ばれます)が採用されています。
セルの温度が上昇した時にセパレータが溶けて、セパレータが有しているイオンの経路である穴が閉じて、セル内の電流が止まるというセパレータメルトダウンという機構もあります。
セルメーカーによっては、電解液に添加物を加え印加電圧が4.2Vを越えた時には添加物が急激な重合反応を起こしてイオンの流動性を阻止する技術を採用している例もあります。
2. 電池パックの構成
2.1 直列接続と並列接続およびパックの内部構成
電池を使用する機器は電圧も必要な容量も収納するスペースも異なっています。
乾電池の場合は形状と容量が決まっていますので、セット内のあいたスペースに並べて挿入するだけで良いですが、リチウムイオン電池は過充電や過放電を阻止するための保護回路が必要になりますので保護回路と電池を組み合せて挿入しなければなりません。
例えば、携帯電話には角型のリチウムイオン電池が採用されることが多くありますが、そこには保護回路が取り付けられておりセル単体で用いられることはありません。
電圧は単セルで最大4.2Vですので、直列に接続することで高電圧を得ることができ、エネルギー(電力)量は基本的にパックにいくつのセルを使用するかによって計算することができます。
電池業界ではパック内におけるセルの直列接続数をS、並列接続数をPで表現します。
例えば、直列接続数が2、並列接続数が3の場合は2S3Pと表し、使用するセルの総数は6となります。
保護回路は基本的にリチウムイオン電池を過充電、過放電、過電流から守る事を目的としています。
2Sパックで単セルの最大電圧を4.2Vにするために、充電器の電圧を8.4Vとした場合、2Sを構成する2個のセルの一方が先に満充電4.2Vに達しもう一方のセルがまだ4.2Vに達していなかった場合、最初に満充電電圧に達したセルは4.2Vを越え過充電になる可能性があります。
即ち、充電電圧監視は直列の全要素について別個に行わなければなりません。
通常、保護回路はこのような目的に設計された専用のICを用いて行うのが通例です。
さて、このような直列内の個々のセルの電圧のバラツキはセル固有の容量のバラツキが原因となっています。
充電時に直列内を流れる充電電流は全てのセルで同一であり、容量が少ないセルは早くに満充電に達し、それ以上の充電電流を流せば過充電になってしまいます。
充電制御ICによって充電が止められてしまうと電池パック全体としての容量が小さくなり、決められたスペースや重量において無駄が発生することになります。
このようなバラツキ、無駄を排除するために採用される手法には、
@ パックを組み立てる前に使用する全セルの容量を測定し、同じ容量を有するセルを用いてパックを組み立てる「セルソーティング」と呼ばれる手法
A 多少のセル容量のバラツキを前提としてパック組み立てを行い、充電中に個々のセルの電圧を測定し、設定した電圧に到達したセルの充電電流をセルに隣接して設けられたバイパス回路に流すようにスイッチする「セルバランシング」と呼ばれる手法
B @の「セルソーティング」を行ったセルを用い、Aの「セルバランシング」回路を付加する手法
があります。
いずれもコストアップになりますが、セット内の与えられたスペース、重量の中で最も高容量で効率の良いパックを得る事が出来るため採用されることが多くなっています。
その他、パックには充放電中の各セルの温度をモニターし、異常を未然に防止するためにサーミスタもよく採用されます。
また、過電流を防止する簡易な方法として、PTCと呼ばれる過電流保護素子を組み込むことが多くあります。
PTCは、素子に電流が流れると素子の温度が上昇し抵抗値が大きくなります。さらに一定以上の温度に達すると急激に高抵抗となり電流を遮断します。
2.2 パックで絶対にやってはいけない事
危険性を有するセルを用いているため、パックには種々の安全対策が採用されています。
パックを改造することはこの安全対策を無効にすることがあるので、パックの内部を改造したりセルを交換するなどは決して行ってはいけません。
仮にそれを行って事故が発生した場合には、基本的にメーカーの保証は適用されませんのでご注意下さい。
2.3 パックの充電
パックの充電は充電器にパックを挿入して接続するか、充電器からのリード線をセットにコネクターで接続することになります。
いずれにしても極性を間違えないよう接続する必要があります。
非接触充電が望まれますが、コストの影響からかなかなか進展していないのが現実です。
例えば電気自動車(EV)を駐車場に駐車している内に充電出来ればすばらしいですが、技術的には、例えば大電力をロスなく電送する技術などまだまだ克服すべき点があります。
現在、電話の子機、電動歯ブラシや一部携帯電話が筆者のまわりでは非接触充電となっておりますが、将来、全ての携帯電話、ノートパソコンが非接触になればと期待しています。
EVは、家庭用の電力貯蔵用としての可能性が指摘されていますが、非接触で双方向に電力移送を行うのは、エンジニアとしてはぞくぞくするテーマであります。
2.4 電池業界のいくつかの約束事
@ 容量の表現
電池の容量は、定格電圧(一般的なリチウムイオン2次電池では3.7V)で、ある電流である時間動作させる事が出来る時にその電流と時間の積で表します。
例えば1Aを1時間流す事が出来る時の容量を1Ahと言います。
A 電流の表現
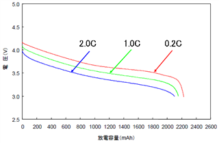
満充電状態のセル(又はパック)で1時間放電させることが出来る電流を1Cと表現します。
電池は充電電流、放電電流(レート)で特性が変化します。
通常は0.5C〜1Cで充電して種々な温度環境や放電電流(レート)でデータを取得し電池の特性を見極めます。


B リチウムイオン電池セルのサイズ
円筒型セルは外形と長さをmm単位で表します。外径Φ18.0mm、長さ65mmのサイズは18650と呼ばれます。
この18650サイズのセルはパソコン等に多用される標準サイズとなっています。
このサイズを採用したセットでは他社製のセルで容易にリプレースされる一方、わずかにサイズを変えてセットにデザイン・インできるため、他社製のセルのリプレースを阻止するような手段を取る例もあります。
角型セルやラミネート型のセルは円筒の18650のような標準的なサイズがありませんので、メーカーによって、または容量・用途によって多種多様なサイズが存在します。
3. 信頼できるパックメーカーとは
信頼できるパックメーカーとは、品質管理の基本を忠実に実行しているメーカーです。
3.1 トレーサビリティ
パックに使用している部品のひとつがメーカーからトラブルの報告があった時にその部品を組み込んだ製品を市場から的確に回収できるような体制が取られていなければなりません。
また、製品製造時のミスで品質異常となる可能性がある製品を出荷してしまった場合も同様となります。
そのためには、倉庫の管理と倉庫への部品の先入れ先出しの実行により、製品に使用した部品のロット管理が明確であることや、製品製造時の工程管理記録などが出荷された製品ロットときちんと関連付けされていることが大切です。
3.2 部品への配慮
例えばパックにおける保護ICの重要性は既述の通りでありますが、ICは静電気で簡単に破壊されて機能を失ってしまいます。
このため、全作業員が作業開始前に体に帯電している静電気を除電すること、同様に作業ベンチと半田ゴテがアースに接続されていることも重要です。
メーカーを選定する際には、ぜひ工場見学を行い、これら品質管理の基礎を実行しているか確認して下さい。

